Beranda
/ Contoh Perkalian Campuran / Rumus Perkalian Pecahan Biasa Dan Campuran Contoh Soal : Bilangan pecahan sendiri memiliki beberapa jenis termasuk bilangan.
Contoh Perkalian Campuran / Rumus Perkalian Pecahan Biasa Dan Campuran Contoh Soal : Bilangan pecahan sendiri memiliki beberapa jenis termasuk bilangan.
Contoh Perkalian Campuran / Rumus Perkalian Pecahan Biasa Dan Campuran Contoh Soal : Bilangan pecahan sendiri memiliki beberapa jenis termasuk bilangan.. Apabila hasil perkalian lebih besar dari penyebut, ubahlah menjadi pecahan campuran. Dengan mengubah semua pecahan campuran menjadi pecahan biasa, maka diperoleh: Penelitian tindakan kelas ptk familiar di telinga kita saat ini. Perkalian pecahan biasa dan campuran pada umumnya memiliki bentuk yang berbeda beda. Contoh soal penggunaan aturan perkalian.
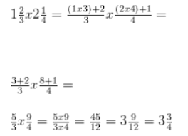
1 2/3 x 2 1/4 =. Contoh operasi hitung perkalian pada pecahan campuran contoh bentuk perkalian pecahan yang sederhana seperti setengah dari berat 1/2 kilogram gula ( kamu bisa mengalikannya 1/2 x 1/2 kg). Misalkan kita akan mengalikan 1,4 x 3,5 =. Contoh 1 dalam menyelesaikan perkalian pecahan campuran dengan sesamanya memang terlihat cukup rumit. Kami menyediakan contoh tesis dalam format pdf dan ms word.
Operasi Hitung Pecahan Biasa Campuran Desimal Dan Persen Juragan Les from 3.bp.blogspot.com Cara menghitung suhu akhir campuran mudah diberikan melalui contoh. Pada perkalian pecahan jika terdapat pecahan campuran, maka yang harus dilakukan terlebih dahulu adalah mengubah bentuk pecahan campuran tersebut. Perkalian pecahan biasa dan campuran pada umumnya memiliki bentuk yang berbeda beda. Contoh 1 dalam menyelesaikan perkalian pecahan campuran dengan sesamanya memang terlihat cukup rumit. Akan tetapi sebelum perkalian dilakukan pecahan campuran diubah terlebih dahulu jadi bentuk pecahan biasa. Dalam kehidupan ini kita tidak bisa hidup tanpa udara. Bagaimana cara menyelesaikan contoh soal perkalian pecahan campuran? Untuk lebih jelasnya perhatikan contoh soal perkalian bilangan pecahan berikut!
Cara menghitung perkalian pecahan campuran dengan bilangan bulat yaitu dengan mengubah pecahan campuran ke.
Pada perkalian pecahan jika terdapat pecahan campuran, maka yang harus dilakukan terlebih dahulu adalah mengubah bentuk pecahan campuran tersebut. Contoh soal perkalian pecahan campuran hitunglah : Untuk lebih jelasnya perhatikan contoh soal perkalian bilangan pecahan berikut! Kami menyediakan contoh tesis dalam format pdf dan ms word. Campuran adalah materi yang terdiri dari dua zat atau lebih dan masih mempunyai sifat asalnya. Bilangan pecahan sendiri memiliki beberapa jenis termasuk bilangan. Perkalian pecahan murni dan campuran sifat operasi hitungan dan pecahan pembagian pecahan murni dan campuran. Dalam kehidupan ini kita tidak bisa hidup tanpa udara. Prinsip ini dapat digenerelasasikan untuk memasukan banyak kejadian yang dapat terjadi dalam n 1n 2n 3n k cara. Cara menghitung perkalian pecahan campuran dengan bilangan bulat yaitu dengan mengubah pecahan campuran ke. Akan tetapi sebelum perkalian dilakukan pecahan campuran diubah terlebih dahulu jadi bentuk pecahan biasa. Apabila hasil perkalian lebih besar dari penyebut, ubahlah menjadi pecahan campuran. Misalkan kita akan mengalikan 1,4 x 3,5 =.
Sedangkan jika perkalian antara pecahan biasa dan pecahan campuran maka bisa dilakukan metode distributif. Akan tetapi sebelum perkalian dilakukan pecahan campuran diubah terlebih dahulu jadi bentuk pecahan biasa. Prinsip ini dapat digenerelasasikan untuk memasukan banyak kejadian yang dapat terjadi dalam n 1n 2n 3n k cara. Dibawah ini merupakan contoh dari rumus perkalian pecahan yang dapat kalian lihat sebagai berikut. Contoh soal penjumlahan & pengurangan pecahan campuran.
Cara Menghitung Operasi Perkalian Dan Pembagian Pada Bilangan Pecahan Beserta Contohnya Berpendidikan Com from www.berpendidikan.com Campuran adalah materi yang terdiri dari dua zat atau lebih dan masih mempunyai sifat asalnya. Misalkan kita akan mengalikan 1,4 x 3,5 =. Untuk lebih jelasnya perhatikan contoh soal perkalian bilangan pecahan berikut! Berdasarkan rumus perkalian skor pada contoh di atas, tentunya cara menghitung perkalian skor tersebut tentunya mudah. Contoh operasi hitung perkalian pada pecahan campuran contoh bentuk perkalian pecahan yang sederhana seperti setengah dari berat 1/2 kilogram gula ( kamu bisa mengalikannya 1/2 x 1/2 kg). Contoh soal penjumlahan pecahan biasa. Jadi jawabannya adalah 1½ meter. Prinsip ini dapat digenerelasasikan untuk memasukan banyak kejadian yang dapat terjadi dalam n 1n 2n 3n k cara.
Udara merupakan sumber kehidupan di dunia ini selain air, silahkan kamu coba bagaimana rasanya menahan nafas.
Rumus perkalian dan pembagian operasi hitung bilangan cacah. Campuran adalah materi yang terdiri dari dua zat atau lebih dan masih mempunyai sifat asalnya. Udara, batuan, air sungai, teh manis. Kami menyediakan contoh tesis dalam format pdf dan ms word. Untuk calon pengantin (catin) yang. Contoh soal penjumlahan & pengurangan pecahan campuran. Materi penjelasan tentang perkalian dan pembagian pecahan disertai dengan contoh soal dan latihan soal yang dapat meningkatkan kemampuan berhitung pecahan kelas 4 5 dan. Akan tetapi sebelum perkalian dilakukan pecahan campuran diubah terlebih dahulu jadi bentuk pecahan biasa. Cara menghitung suhu akhir campuran mudah diberikan melalui contoh. Pengertian mudah tentang rumus perkalian pecahan biasa maupun perkalian bilangan campuran beserta gambar, rumus, dan contoh soal agar lebih mudah di pahami. Bagaimana cara menyelesaikan contoh soal perkalian pecahan campuran? Penelitian tindakan kelas ptk familiar di telinga kita saat ini. Perlu juga untuk kalian ketahui penghitung mengalikan dalam bilangan pecahan campuran.
Untuk calon pengantin (catin) yang. Berdasarkan rumus perkalian skor pada contoh di atas, tentunya cara menghitung perkalian skor tersebut tentunya mudah. Contoh soal penjumlahan & pengurangan pecahan campuran. Untuk lebih jelasnya perhatikan contoh soal perkalian bilangan pecahan berikut! Bilangan pecahan sendiri memiliki beberapa jenis termasuk bilangan.
Cara Menghitung Perkalian Pecahan Dan Contoh Soal Cilacap Klik from cilacapklik.com Sedangkan jika perkalian antara pecahan biasa dan pecahan campuran maka bisa dilakukan metode distributif. Prinsip ini dapat digenerelasasikan untuk memasukan banyak kejadian yang dapat terjadi dalam n 1n 2n 3n k cara. Kami menyediakan contoh tesis dalam format pdf dan ms word. Siapa yang gemar belajar matematika? Untuk calon pengantin (catin) yang. Udara, batuan, air sungai, teh manis. Cara menghitung suhu akhir campuran mudah diberikan melalui contoh. Rumus perkalian dan pembagian operasi hitung bilangan cacah.
Dibawah ini merupakan contoh dari rumus perkalian pecahan yang dapat kalian lihat sebagai berikut.
Bagaimana cara menyelesaikan contoh soal perkalian pecahan campuran? 1 2/3 x 2 1/4 =. Cara menghitung perkalian pecahan campuran dengan bilangan bulat yaitu dengan mengubah pecahan campuran ke. Kami menyediakan contoh tesis dalam format pdf dan ms word. Contoh soal perkalian pecahan campuran hitunglah : Campuran adalah materi yang terdiri dari dua zat atau lebih dan masih mempunyai sifat asalnya. Untuk lebih jelasnya perhatikan contoh soal perkalian bilangan pecahan berikut! Perkalian pecahan murni dan campuran sifat operasi hitungan dan pecahan pembagian pecahan murni dan campuran. Perkalian pecahan biasa dan campuran pada umumnya memiliki bentuk yang berbeda beda. Dokumen dan persyaratan administrasi untuk melaksanakan pernikahan campuran di kantor urusan agama (bagi yang beragama islam) adalah sebagai berikut: Hitunglah hasil perkalian pecahan dibawah ini. Untuk calon pengantin (catin) yang. Hasil akhir suhu campuran diperoleh dari persamaan melibatkan rumus kalor dan azas black.
Berbagi
Posting Komentar
untuk "Contoh Perkalian Campuran / Rumus Perkalian Pecahan Biasa Dan Campuran Contoh Soal : Bilangan pecahan sendiri memiliki beberapa jenis termasuk bilangan."
Posting Komentar untuk "Contoh Perkalian Campuran / Rumus Perkalian Pecahan Biasa Dan Campuran Contoh Soal : Bilangan pecahan sendiri memiliki beberapa jenis termasuk bilangan."